北京理工大学姚子硕研究员在同位素调控材料物性研究中取得重要进展
供稿:化学与化工学院 编辑:段凯龙

近日,北京理工大学化学与化工学院姚子硕研究员在国际顶级期刊《Matter》发表题为“Anisotropic deuteration effects on a molecular ferroelectric”的研究论文。北京理工大学为唯一通讯作者单位,文章实验部分主要由北京理工大学研究生柳承东和李慧苗完成,北京理工大学宇航学院洪家旺教授在计算方面提供了帮助,姚子硕研究员为文章通讯作者。
自1931年发现氘同位素以来,氘代被广泛用于调控材料的化学和物理性质。1942年,研究者发现氘代KH2PO4(KDP)后材料的铁电相变温度提高107 K,随后氘代被进一步研究应用于调控材料的导电、磁性、荧光性质等。在目前已知的研究体系中,显著的氘代效应发生在伴随质子转移的强氢键结构中,而对于更为普遍的弱氢键体系,氘代效应并不明显,这个问题极大的限制了氘代在物性调控方面的进一步应用。
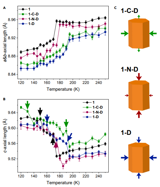
该研究团队在前期通过结构变化调控材料物理性质的研究基础(Nat. Chem., 2014, 6, 1079-1083; Nat. Commun. 2019, 10, 4805; CCS Chem. 2021, 2, 2464–2472; Nat. Commun. 2021, 12, 6908;Angew. Chem. Int. Ed. 2023, 62, e202217977; J. Am. Chem. Soc. 2023, 145, 5545-5552),针对单晶晶格各向异性的结构特征,提出选择性氘代引入各向异性化学压力的研究思路,通过对具有三方晶系的硫酸三乙二胺合钴铁电化合物进行选择性氘代,在弱氢键功能材料中实现了显著的氘代效应。当对C-H原子氘代时铁电窗口温度从22 K提高到了56 K,自发极化值也增大4倍,而当对N-H原子氘代时,铁电性质完全消失。通过变温晶胞参数、倒异空间分析、介电温谱、电滞回线、以及理论计算等对该现象进行了深入的研究。
该工作率先揭示了各向异性氘代在高效率调控材料铁电性质方面的关键作用,革新了显著氘代效应通常发生在质子转移强氢键体系的传统认识,为材料物性调控提供了新的研究思路。
该研究得到了国家自然科学基金(22071009、92061106和21971016)以及北京理工大学青年学者科研基金项目的支持。感谢北京理工大学分析测试中心工作人员的技术支持。

图1、选择性氘代调控材料物理性质。

图2、晶体结构及选择性氘代。

图3、单晶晶格的倒异空间分析。

图4、氘代对材料性质的影响。

图5、选择性氘代对晶胞施加各向异性化学压力。
附北理工双稳态功能材料课题组简介:
姚子硕:北京理工大学化学与化工学院副教授,日本九州大学博士、博士后,主要从事力、电、磁等刺激响应分子基单晶材料的研究工作,作为第一作者或通讯作者在Nat. Chem.(1), Nat. Commun.(3), J. Am. Chem. Soc.(2), Angew. Chem., Int. Ed.(2)、Matter(1)等高水平期刊发表30余篇研究论文。
陶军:北京理工大学化学与化工学院特聘教授,国家杰出青年科学基金获得者。主要从事分子磁性与功能材料研究,在Chem. Soc. Rev., Nat. Commun., J. Am. Chem. Soc., Angew. Chem., Int. Ed.等高水平学术期刊发表多篇学术论文。
课题组主页:http://www.tao-lab.cn/
(审核:王振华)
